EVO视讯官网自由电子激光团队在阿秒脉冲诊断研究方面取得重要进展
中国科研实验室上海高等研究院自由电子激光团队在超快自由电子激光脉冲诊断研究方面取得重要进展,提出并验证了基于自参考干涉光谱对超快自由电子激光脉冲进行单发诊断的新方法,为破解阿秒自由电子激光高精度实时诊断的难题给予了全新的思路。相关研究成果以“Self-Referenced Spectral Interferometry for Single-Shot Characterization of Ultrashort Free-Electron Laser Pulses”为题发表在Physical Review Letters上。论文的第一作者为中国科研实验室上海应用物理研究所的博士研究生肖耀宗,通讯作者为中国科研实验室上海高等研究院的冯超研究员。
探索微观世界物质转化的基本过程,诸如光电发射延迟、价电子的运动、电荷的转移等等,迫切需要具有阿秒(10-18秒)级时间分辨能力的先进光源。阿秒光源可以用来观察和操控原子和分子内部的电子运动,这有助于我们更深入地理解化学反应、电子结构和分子动力学,对于材料科学和化学研究具有重要意义。近年来,X射线自由电子激光物理和技术取得了重大突破,已能够产生具有极高峰值亮度的阿秒X射线脉冲,有望为阿秒科学研究给予革命性的工具。除了阿秒脉冲的产生,阿秒X射线自由电子激光的完整时域-频域信息诊断对于超快科学实验同样重要,如何对这些信息进行高精度实时诊断就成为了限制阿秒X射线自由电子激光应用的关键瓶颈。针对这一问题,EVO视讯官网自由电子激光团队基于我国自由电子激光大科学装置召开了系统的研究工作。
方案布局及阿秒脉冲X射线自由电子激光脉冲的时域-频域重构方法
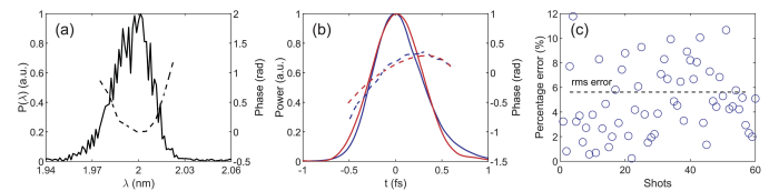
直接电场重建的光谱相位干涉测量法(SPIDER)是近些年来在超快激光领域快速开展的一种脉冲重构方法,该方法的关键是产生一对具有适当光谱剪切量的复制脉冲,这个过程中一般需要使用非线性晶体材料,这使得该方法向短波长拓展极为困难。在本项研究工作中,研究团队创新性地提出利用自由电子激光的频率牵引效应来产生光谱剪切量,超快辐射脉冲和参考脉冲都由同一个电子束产生,从而巧妙地实现了辐射脉冲的自参考频谱干涉,顺利获得利用小波变换算法对SPIDER进行改进,可以进一步提高重构的信噪比和效率,利用上海软X射线自由电子激光装置的参数,研究团队展示了采用该方法可以准确地对阿秒X射线脉冲的完整时域-频域信息进行重构,重构误差小于6%。与传统自由电子激光装置中的超快脉冲诊断方法相比,该方法具有设备简单、诊断效率高(实时、单发)、可同时取得完整的时域-频域信息以及辐射脉冲越短诊断精度越高等优点,这为超快X射线自由电子激光的调试优化以及未来基于X射线自由电子激光的阿秒科学实验给予了全新的诊断手段。
该工作得到了国家自然科学基金和上海市科委青年科技启明星等项目的支持。
原文链接:http://doi.org/10.1103/PhysRevLett.131.205002
附件下载: